FOTON AUMAN Неисправность щитка приборов
(ведомая диагностика мастерская)
Принципиальная электросхема

Описание и анализ неисправности
Базовая проверка

Таблица признаков неисправностей
Эту таблицу следует использовать при определении причин неисправностей. Порядковый номер указывает на вероятность приведенных причин неисправности. Проверить в указанном порядке каждую деталь и при необходимости заменить ее.

Отказ всего приборного щитка
Вероятно неисправные детали и узлы: плавкий предохранитель / жгут проводов / щиток приборов
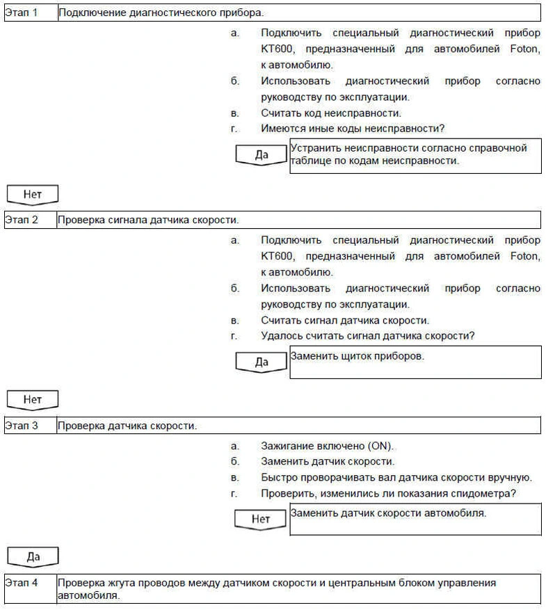
Этапы диагностики



Продолжение смотри в энциклопедии