FOTON AUMAN - Неисправности дверей
(ведомая диагностика)
Неисправность электростеклоподъемника
Неисправность левого электростеклоподъемника
Вероятно неисправные компоненты: предохранитель / контроллер левой двери / жгут проводов / выключатель блокировки левой двери / привод левого электростеклоподъемника
Описание кода неисправности

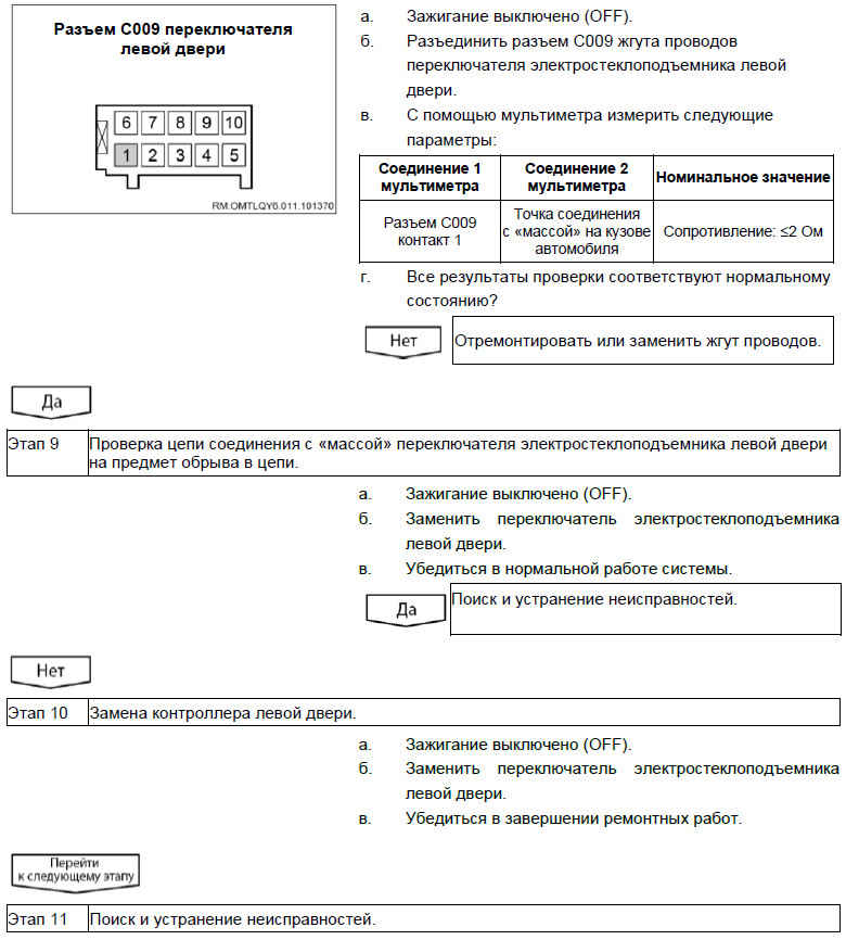
Этапы диагностики





Неисправность замка левой двери
Вероятно неисправные компоненты: предохранитель / контроллер левой двери / жгут проводов / электропривод блокировки замка двери / контроллер замка двери
Описание кода неисправности

Этапы диагностики



Продолжение смотри в энциклопедии