См. также:
Описание и поиск неисправностей ЭСУ - 1А
Обозначения и сокращения
- ВСХ – внешняя скоростная характеристика;
- ДДН – датчик давления наддува воздуха;
- ДПП – датчик положения педали;
- ДПР-датчик положения рейки ТНВД;
- ДТ – датчик температуры;
- ДЧА, ДЧВ – датчик частоты А и датчик частоты В соответственно;
- ДЧ – датчик частоты вращения коленчатого вала двигателя;
- ИМ – исполнительный механизм;
- ОЗУ – оперативное запоминающее устройство;
- ПЗУ – постоянное запоминающее устройство;
- ТНВД – топливный насос высокого давления;
- ЭБУ – электронный блок управления;
- ЭПЗУ (EEPROM) – электронно-программируемое запоминающее устройство.
- ЭСУ – электронная система управления;
- ЭСУ-1А – обозначение варианта ЭСУ для дизелей семейств ЯМЗ 656 и ЯМЗ 658;
ВВЕДЕНИЕ
Электронная система управления дизелем (ЭСУ) – микропроцессорная система, предназначена для автоматического поддержания требуемого нагрузочно-скоростного режима, обеспечения пусковой подачи топлива, устойчивой работы двигателя на холостом ходу, предохранения его от чрезмерного увеличения час-тоты вращения (разноса) и произвольного останова, формирования внешней скоостной характеристики (ВСХ) крутящего момента.
Настоящая инструкция предназначена для проведения диагностики, поиска неисправностей и проведения ремонта системы ЭСУ-1А, устанавливаемой на ав-томобили РУП «МАЗ» уровня ЕВРО-3.
1. ОСНОВНЫЕ ФУНКЦИИ ЭСУ
1.1. Основные режимы функционирования ЭСУ:
− штатный – обеспечивается выполнение функций по п. 1.4;
− отладочный – настройка и корректировка статических характеристик ТНВД;
− технологический – взаимодействие с диагностическим оборудованием.
1.2. Уровни доступа к диагностической информации и управляющим алгоритмам ЭСУ:
− водителя автомобиля;
− изготовителя автомобиля;
− сервисного обслуживания;
− изготовителя двигателя;
− разработчиков ЭСУ и ТПС;
− программистов-разработчиков.
1.3. Способы вывода диагностической информации:
− блинк-код;
− технологический комплекс;
− бортовые устройства автомобиля, совместимые с протоколами KWP 2000 (ISO 14230) или SAE J 1939.
1.4. Выполняемые ЭСУ функции:
− формирование характеристик топливоподачи;
− обеспечение входного сигнала на тахометр для индикации частоты вращения коленчатого вала двигателя;
− отключение подачи топлива в режиме работы двигателя “моторный тор-моз”;
− ограничение максимальной скорости автомобиля;
− обеспечение технологического останова двигателя путем перекрытия воздуха во впускном коллекторе (или топлива в линии низкого давления);
− реализация функции круиз-контроль;
− взаимодействие с внешним диагностическим оборудованием по диагностическому протоколу Key Word ISO 14230 и физической линии согласно ISO 9141;
− взаимодействие в составе бортового электронного оборудования по физической линии CAN согласно SAE J 1939;
− индикация неисправности ЭСУ.
2. СОСТАВ СИСТЕМЫ
2.1. Электронный блок управления (ЭБУ)
2.1.1. ЭБУ имеет три типа памяти: постоянно запоминающее устройство (ПЗУ), оперативно запоминающее устройство (ОЗУ) и электронно-программируемое запоминающее устройство (ЭПЗУ).
2.1.1.1. ПЗУ предназначено для хранения программы управления, которая содержит последовательность рабочих команд и калибровочную информацию.
Эта память является энергонезависимой, т.е. ее содержимое сохраняется при отключении питания.
2.1.1.2. ОЗУ используется микропроцессором для временного хранения измеряемых параметров, результатов вычислений, кодов неисправностей.
Микропроцессор может по мере необходимости вносить в ОЗУ данные или считывать их, а также хранить и обновлять данные.
Эта память является энергозависимой, при прекращении подачи питания содержащиеся в ОЗУ диагностические коды неисправностей, расчетные данные и данные самообучения стираются.
2.1.1.3. ЭПЗУ используется для временного хранения кодов-паролей неисправностей.
Информация в ЭПЗУ является энергонезависимой и может храниться без подачи питания на ЭБУ.
2.1.2. ЭБУ предназначен для преобразования и обработки первичной информации, поступающей от датчиков, реализации алгоритмов управления и диагностики составляющих компонентов ЭСУ.
2.1.3. ЭБУ обеспечивает прием и обработку следующих сигналов: частоты вращения коленчатого вала, положения рейки ТНВД; положения педали акселератора, температуры наддувочного воздуха, топлива, охлаждающей жидкости, давления наддувочного воздуха, скорости автомобиля.
2.1.4. Алгоритм работы блока определяется программным кодом в ПЗУ блока. Код, записанный в ПЗУ, должен соответствовать эталонному коду, согласованному с ИКЦ ОАО «ЯЗДА», ОАО «Автодизель», РУП «МАЗ».
2.2. Исполнительный механизм (ИМ) предназначен для привода рейки ТНВД, формирования сигнала датчика положения рейки и выключения цикловой подачи при отключении питания ЭБУ.
2.2.1. Состав ИМ:
− электромагнит ЭМП01-30;
− датчик положения 36.3855-20;
− установочная крышка, кривошип, возвратная пружина, сальник вывода кабеля, вилка кабеля, крепеж.

Исполнительный механизм привода рейки ТНВД
2.3. Датчики:
− частоты вращения двигателя ДС-1 406.3847060-01 – 2 шт.;
− положения ИМ привода рейки ТНВД 36.3855 – 1 шт.;
− температуры топлива 192.3855 – 1 шт.;
− температуры наддувочного воздуха 233.3823 – 1 шт.;
− температуры охлаждающей жидкости 233.3823 – 1 шт.;
− давления наддувочного воздуха 23.3855 – 1 шт.
Датчики обеспечивают нормированные сигналы для работы в составе мик-ропроцессорной системы управления, обладают достаточной надежностью для работы в разных климатических условиях. Режим работы датчиков – продолжительный S1 по ГОСТ 3940-84, климатическое исполнение «У2» по ГОСТ 15150-69. Датчики относятся к необслуживаемым и неремонтируемым изделиям группы 2, вид 1 по ГОСТ 27.001-81 и РД 37.003.010-81. Степень защиты датчика от попадания внутрь твердых тел и воды IP 67 ГОСТ 14254-80. Условия хранения 2 по ГОСТ 15150-69.
Датчики, используемые в системе ЭСУ-1А, приведены в таблице ниже.
2.4. Педальный модуль, используемый в ЭСУ-1А комплектуется заводом РУП «МАЗ».
Датчики, используемые в системе ЭСУ-1А

2.5. Жгут соединительных проводов
2.5.1. Жгут предназначен для связи ЭБУ с датчиками, поворотным электромагнитом, блоком питания, педальным модулем и другими информационными и регистрирующими приборами управления и диагностики двигателя.
2.5.2. Жгут состоит из трех каналов, различающихся по назначению:
− информационные провода для связи ЭБУ с диагностическим комплексом (предусматривается диагностический разъем), пультом управления, интерфейсом CAN;
− информационные провода для связи ЭБУ с датчиками (сечение не менее 0,5 мм2);
− силовые провода для связи ЭБУ с блоком питания и исполнительными устройствами (сечение не менее 1,5 мм2).
Жгут соединительных проводов комплектуется заводами «Автодизель» и «МАЗ».
Назначение выводов разъема жгута к ЭБУ


Разъем жгута к ЭБУ.

3. ДИАГНОСТИКА
3.1. Введение
В данном разделе приводится описание электрических соединений системы управления двигателем и назначение контактов разъема ЭБУ, карты кодов неис-правностей.
3.2. Общие сведения
Для осуществления диагностики необходимо умение работать с ПК и измерительными приборами (например, с мультиметром), специальных знаний не требуется, достаточно понимания основ электротехники и навыка чтения простых элек-трических схем. Важным условием успешной диагностики неисправностей любой системы является понимание принципа ее работы, и прежде всего четкое представ-ление чем исправное состояние отличается от неисправного. Следовательно, необходимо хорошее понимание работы двигателя и автомобиля в целом.
В описаниях диагностики и в диагностических картах упоминаются опреде-ленные средства диагностики, такие как ДК-2, EDCDiags, мультиметр. Диагностические карты с описанием порядка диагностики построены на основе использования именно этих средств. В том случае, если указанные средства диагностики не применяются, точная диагностика неисправностей системы управления двигателем невозможна.
3.3. Меры предосторожности при диагностике
При работе на автомобиле необходимо соблюдать следующие требования:
1) Перед демонтажем любых элементов системы ЭСУ-1А, связанных с ЭБУ, необходимо отсоединить провод массы от аккумуляторной батареи;
2) Не допускается отключение аккумуляторной батареи от бортовой сети при работающем двигателе;
3) Не допускается пуск двигателя без надежного подключения аккумуляторной батареи;
4) Необходимо контролировать надежность контактов жгутов проводов и поддерживать полную чистоту клемм аккумуляторной батареи;
5) Конструкция колодок жгутов проводов системы управления двигателем ЭСУ-1А предусматривает сочленение только при определенной ориентации;
6) Не допускается сочленение или расчленение колодки контроллера при включенном зажигании;
7) Для исключения ошибок и повреждения исправных узлов не допускается применение контрольно-измерительного оборудования, не указанного в диагно-стических картах.
8) Элементы электронной системы управления двигателем уязвимы для электростатических разрядов. Разряд статического заряда может вызвать повреж-дение отдельных элементов электроники, поэтому при работе с элементами ЭСУ необходимо проявлять осторожность.
3.4. Общее описание диагностики
В процессе работы ЭБУ осуществляет постоянную диагностику элементов и функций управления ЭСУ.
Диагностические карты, содержащиеся в настоящей инструкции, служат для обнаружения неисправности цепи или элемента системы. Сигнализация наличия неисправностей производится контрольной лампы «СНЕСК ENGINE».
При обнаружении неисправностей в память ЭБУ заносятся соответствую-щие коды , которые могут считываться с помощью программного комплекса «ЕDCDiags», установленного на персональный компьютер или ноутбук, подключенный к диагностическому разъему системы OBD II по средством ди-агностического кабеля ДК-2. Диагностику системы также можно произвести без использования программного комплекса «EDCDiags». Для этого необходимо одно-кратно кратковременно нажать на кнопку «Диагностика/Сброс ошибок» на панели управления транспортного средства. Если в системе присутствуют ошибки, то код первой ошибки будет отображен миганием лампочки «СНЕСК ENGINE». Для определения кода следующей ошибки необходимо после окончания индикации текущей ошибки повторно нажать на кнопку «Диагностика/Сброс ошибок» и т.д. Каждый код состоит из восьми последовательных «миганий» разной длительности. Короткое мигание (порядка 0,2 сек) соответствует 0, длинное (0,6 сек) соответствует 1. Поддерживаемые коды можно найти в таблице в поле «Blink».
Внимание: первое мигание соответствует правому разряду приведенного двоичного числа.
В системе предусмотрена возможность сброса всех ошибок. Для этого необходимо удерживать нажатой кнопку «Диагностика/Сброс ошибок» более 3 сек (пока не погаснет лампочка «СНЕСК ENGINE»). Сброс всех ошибок возможен только после устранения неисправностей.
3.5. Контрольная лампа «СНЕСК ENGINE»
Контрольная лампа «СНЕСК ENGINE» находится в комбинации приборов. Включение лампы сигнализирует о неисправности и необходимости проведения технического обслуживания. Включение лампы не означает, что двигатель необходимо заглушить, а свидетельствует о необходимости установления причины включения лампы.
При включении зажигания контрольная лампа «СНЕСК ENGINE» загорается и гаснет через 1…2 секунды, свидетельствуя о работоспособности системы.
В случае неисправности системы при включении зажигания контрольная лампа «СНЕСК ENGINE» загорается и не гаснет в течение всего времени присутствия неисправности (при включенном зажигании).
Список ошибок EDCDiags


3.6. Диагностические карты
Диагностические карты обеспечивают быстрый и эффективный поиск неисправностей ЭСУ.
Каждая диагностическая карта состоит из «Диаграммы поиска неисправности» выстроенной относительно схемы соединений ЭСУ. Кроме того, приводится тип ошибки: предупреждение – информационная ошибка, не отражающаяся на работоспособности системы; критическая ошибка – ошибка, при которой продолжение нормального функционирования системы невозможно, приводит к принудительному останову двигателя.
После устранения неисправности и очистки всех кодов рекомендуется повторить проверку диагностической цепи для того, чтобы убедиться в правильности ремонта.
Низкий (Высокий) уровень сигнала датчика:
Код ошибки Р1102, Р1103, Р1107, Р1108,Р0222, Р0223, Р0227, Р0228, Р0107,Р0108, Р0112, Р0113, Р0182, Р0183, Р0117, Р0118.
Ошибка возникает на датчиках:
-положения рейки;
-положения педали;
-давления наддува;
-температуры топлива;
-температуры охлаждающей жидкости;
- температуры наддувочного воздуха
Тип Ошибки: Предупреждение
Причина возникновения: - Неправильное подключение датчика;
- Неисправность датчика;
- Неисправность ЭБУ.
Диагностика и устранение неисправностей

*Датчик подключен правильно, если исправлен разъем подключения датчика к жгуту соединительных проводов (герметичен, не содержит влаги, не окислен, исправны контакты), исправен разъем ЭБУ.
Могут быть более сложные случаи, когда неисправен канал этого датчика непосредственно в ЭБУ.
Обрыв цепи датчика положения педали:
Код ошибки Р0220 (Р0225).
Ошибка возникает на датчике положения педали.
Тип Ошибки: Предупреждение.
Причина возникновения: - Неисправность ДПП;
- Неисправность жгута;
- Неисправность ЭБУ.
Диагностика и устранение неисправностей

Разъем ДПП.
Датчик педали двухсекционный.
Первая секции:
-1 – выход;
-3 – +5В;
-5 – земля.
Вторая секция:
-4 – выход;
-2 – +5В;
-6 – земля.

*для проверки неисправности ЭБУ следует удостовериться в наличии напряжения +5В и земли на соответствующих контактах ЭБУ , если данного напряжения или земли не присутствует, то следует заменить ЭБУ.
Обрыв цепи датчика давления наддува:
Код ошибки Р0105 (Р1110).
Ошибка возникает на датчике давления надувочного воздуха:
Тип Ошибки: Предупреждение
Причина возникновения: - Неисправность жгута;
- Неисправность ДДН;
- Неисправность ЭБУ.
Диагностика и устранение неисправностей

*для проверки неисправности ЭБУ следует удостовериться в наличие напряжения +5В и земли на соответствующих контактах ЭБУ, если данного напряжения или земли не присутствует, то следует заменить ЭБУ.
Обрыв цепи датчика температуры:
Код ошибки Р0110 (Р0180;Р0115;Р1115).
Ошибка возникает на датчиках температуры:
− температуры наддувочного воздуха;
− температуры топлива;
− температуры охлаждающей жидкости;
Тип Ошибки: Предупреждение
Причина возникновения: - Неисправность жгута;
- Неисправность ДТ;
- Неисправность ЭБУ.
Диагностика и устранение неисправностей

*для проверки неисправности ЭБУ следует удостовериться в наличие напряжения +5В и земли на соответствующих контактах ЭБУ, если данного напряжения или земли не присутствует, то следует заменить ЭБУ.
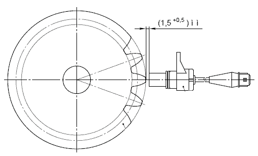
Превышение аварийной частоты вращения:
Код ошибки Р0219.
Ошибка возникает при превышении аварийной частоты вращения двигателя (сопровождается автоматическим закрытием воздушной заслонки на впускном коллекторе):
Тип Ошибки: Критическая.
Причина возникновения: - Неправильная установка ДЧ;
- Неисправность жгута;
- Неисправность ДЧ;
- Заклинивание рейки;
- Неисправность ЭБУ.
Диагностика и устранение неисправностей

Установка зазора между ДЧ и венцом маховика.

Сбой датчика частоты вращения двигателя:
Код ошибки Р0725 (Р0720).
Ошибка возникает на датчике частоты вращения двигателя:
Тип Ошибки: Предупреждение
Причина возникновения: - Неправильная установка датчика;
- Неисправность жгута;
- Неисправность ДЧ;
- Неисправность ЭБУ.
Диагностика и устранение неисправностей

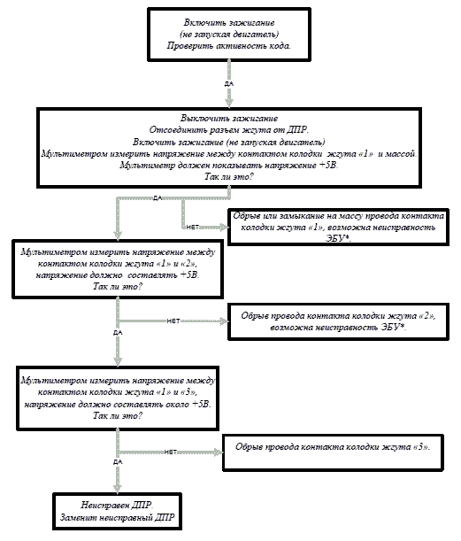
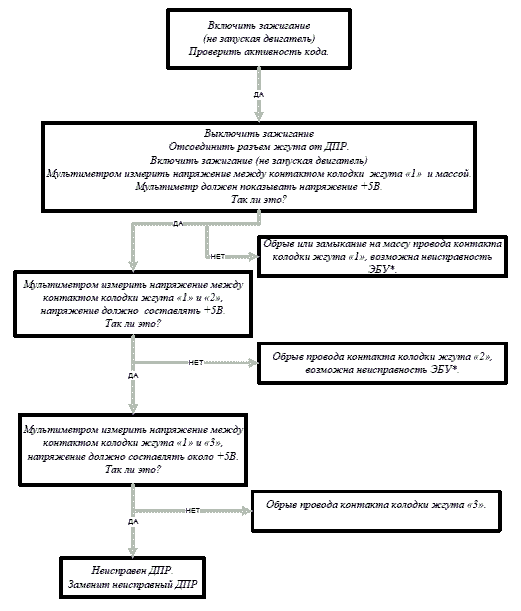
Ошибка начального тестирования системы (Ошибка автокалиб-ровки датчика положения рейки):
Код ошибки Р1902 (Р1904).
Ошибка возникает из-за невозможности провести начальное тестирование системы.
Тип Ошибки: Критическая
Причина возникновения: - Неисправность жгута;
- Неисправность ДПР;
- Заклинивание рейки;
- Неисправность ЭБУ.
- Неисправность ИМ.
Диагностика и устранение неисправностей

Разъем ДПР.


*для проверки неисправности ЭБУ следует удостовериться в наличие напряжения +5В и земли на соответствующих контактах ЭБУ, если данного напряжения или земли не присутствует, то следует заменить ЭБУ.
Обрыв цепи датчика положения рейки:
Код ошибки Р1100 (Р1105).
Ошибка возникает на датчике положения рейки:
Тип Ошибки: Критическая.
Причина возникновения: - Неисправность ДПР;
- Неисправность жгута;
- Неисправность ЭБУ.
Диагностика и устранение неисправностей

*для проверки неисправности ЭБУ следует удостовериться в наличие напряжения +5В и земли на соответствующих контактах ЭБУ, если данного напряжения или земли не присутствует, то следует заменить ЭБУ.
Замыкание выхода/нет нагрузки на ключе управления рейкой:
Код ошибки Р1613.
Ошибка возникает в ЭБУ на ключе управления рейкой.
Тип Ошибки: Критическая
Причина возникновения: - Неисправность жгута;
- Неисправность ИМ;
- Неисправность ЭБУ.
Диагностика и устранение неисправностей

Разъем ИМ.

Превышение температуры ключа управления рейкой:
Код ошибки Р1611.
Ошибка возникает в ЭБУ на ключе управления рейкой.
Тип Ошибки: Критическая
Причина возникновения: - Неисправность жгута;
- Неисправность ИМ;
- Неисправность ЭБУ.
Диагностика и устранение неисправностей

Нет напряжения питания на ключе управления рейкой:
Код ошибки Р1612.
Ошибка возникает в ЭБУ на ключе управления рейкой.
Тип Ошибки: Критическая
Причина возникновения: - Неисправность главного реле;
- Неисправность жгута;
- Неисправность ЭБУ.
Диагностика и устранение неисправностей

Ошибка начальной инициализации данных:
Код ошибки Р0603 заносится, если выполняются следующие условия:
- прошла инициализация;
- произошла потеря данных в EEPROM при проведении теста «чтение-запись».
Очистить коды ошибок.
Если код заносится повторно, заменить ЭБУ.
Ошибка EEPROM:
Код ошибки Р1600 (Р1601, Р1602) заносится, если выполняются следующие условия:
-прошла инициализация;
- произошла потеря данных в EEPROM при проведении теста «чтение-запись».
Очистить коды ошибок.
Если код заносится повторно, заменить ЭБУ.
Ключ управления рейкой не отвечает:
Код ошибки Р1610 заносится, если выполняются следующие условия:
-прошла инициализация;
- зажигание включено, но напряжение на обмотку реле не подается.
Очистить коды ошибок.
Если код заносится повторно, заменить ЭБУ.
