HINO 300 Система управления двигателем
N04C-TR, TS, ТТ, TU, TV, TW

СОДЕРЖАНИЕ
- МЕРЫ ПРЕДОСТОРОЖНОСТИ
- ПРОВЕРКА ФУНКЦИОНИРОВАНИЯ
- АКТИВАЦИЯ ПИТАЮЩЕГО НАСОСА ПРИ ЕГО ЗАМЕНЕ (ЗАПУСКЕ)
- КОРРЕКЦИЯ ИНЖЕКТОРА
- ЗАПУСК ИНЖЕКТОРНОГО (ПОДАЮЩЕГО) НАСОСА
- ПОЯСНЕНИЯ К ФУНКЦИЯМ
- РАСПОЛОЖЕНИЕ ДЕТАЛЕЙ
- СХЕМА СИСТЕМЫ
- ПОИСКИ И УСТРАНЕНИЕ НЕИСПРАВНОСТЕЙ
- БАЗОВЫЙ ОСМОТР
- ПРИНУДИТЕЛЬНАЯ ПРОЦЕДУРА РЕГЕНЕРАЦИИ ТВЕРДЫХ ЧАСТИЦ *Е2
- ТАБЛИЦА СИМПТОМОВ НЕИСПРАВНОСТЕЙ
- КЛЕММЫ ЭЛЕКТРОННОГО БЛОКА УПРАВЛЕНИЯ
- ОСМОТР
- ДИАГНОСТИКА С ПОМОЩЬЮ ДИАГНОСТИЧЕСКОГО ИНСТРУМЕНТА ПК (ПЕРСОНАЛЬНОГО КОМПЬЮТЕРА) С ИНТЕРФЕЙСОМ (HINO-DX)
- ПРОВЕРКА/ОЧИСТКА ДИАГНОСТИЧЕСКОГО КОДА НЕИСПРАВНОСТЕЙ (С HINO-DX)
- ПРОВЕРКА / ОЧИСТКА ДИАГНОСТИЧЕСКОГО КОДА НЕИСПРАВНОСТЕЙ (БЕЗ ИСПОЛЬЗОВАНИЯ HINO-DX)
- ДАННЫЕ СТОП-КАДРА / ПОДРОБНАЯ ИНФОРМАЦИЯ О ДИАГНОСТИЧЕСКОМ КОДЕ НЕИСПРАВНОСТИ (С HINO-DX)
- КАРТА БЕЗОТКАЗНОЙ РАБОТЫ
- ПЕРЕЧЕНЬ ДАННЫХ / АКТИВНОЕ ТЕСТИРОВАНИЕ
- КАРТА ДИАГНОСТИЧЕСКИХ КОДОВ НЕИСПРАВНОСТЕЙ
- Р0045/34 *Е1
- Р0087/49
- Р0190/49
- Р0192/49
- Р0193/49
- Р0088/78
- Р0627/78
- Р1229/78
- Р0093/78
- Р0095/23
- Р0097/23
- Р0098/23
- Р0100/3 *Е1
- Р0102/31 *Е1
- Р0103/31 *Е1
- Р0101/31 *Е1
- Р0105/35
- Р0107/35
- Р0108/35
- Р0106/31
- Р0110/24 *Е1
- Р0112/24 *Е1
- Р0113/24 *Е1
- Р115/22
- Р117/22
- Р118/22
- Р0116/22
- Р0120/41 *Е1
- Р0122/41 *Е1
- Р0123/41 *Е1
- Р0168/39
- Р0180/39
- Р0182/39
- Р0183/39
- Р0200/97
- Р0234/34 *Е1
- Р0299/34 *Е1
- Р1251/34 *Е1
- Р0335/12,13
- Р0339/13
- P0340/12
- P0400/71 *E1
- P0405/96 *E1
- P0406/96 *E1
- P0488/15 *E1
- P0500/42
- P0504/51
- P0544/A3 *E2
- P0545/A3 *E2
- P0546/A3 *E2
- P0560/96
- P0606
- P0607/54
- P0617/43
- P0630/89 *E2
- P0863/17 *E3
- P1133
- P1238/78
- P1425/A4 *E2
- P1427/A4 *E2
- P1428/A4 *E2
- P1426/A4 *E2
- P1530/92
- P1601/89
- P1611/17
- P1674/36
- P2002/94 *E2
- P2031/A3 *E2
- P2032/A3 *E2
- P2033/A3 *E2
- P2120/19
- P2121/19
- P2122/19
- P2123/19
- P2125/19
- P2127/19
- P2128/19
- P2138/19
- P2226/A5
- P2228/A5
- P2229/A5
- P2227/A5
- U1123/A2*E1
- Двигатель запускается с трудом или глохнет
- Выхлоп черного цвета
- Нагрев цепи управления
- Неровная работа двигателя на холостом ходу или повышенная вибрация
- Стук в двигателе
- Недостаток мощности или запаздывание
- Цепь питания электронного блока управления
- Цепь питания электронного привода
- Выходная цепь регулировочного клапана
- Сигнальная цепь стартера
- Цепь индикатора неисправности
- Принудительная процедура регенерации твердых частиц *Е2
- Выключатель системы снижения твердых частиц и цепь звукового сигнала *Е2
- Блокирование каталитического конвертора системы снижения твердых частиц *Е2
- Определение ненормальной температуры датчиком выхлопа (восходящий поток) *Е2
- Определение ненормальной температуры датчиком выхлопа (нисходящий поток) *Е2
- Система горного тормоза
- КОРПУС ДРОССЕЛЬНЫХ ЗАСЛОНОК ДИЗЕЛЯ*!
- КОМПОНЕНТЫ
- СНЯТИЕ
- ОСМОТР
- УСТАНОВКА
- МОДУЛЬ УПРАВЛЕНИЯ ДВИГАТЕЛЕМ КОМПОНЕНТЫ
- СНЯТИЕ
- УСТАНОВКА
- ТЯГА ПЕДАЛИ АКСЕЛЕРАТОРА КОМПОНЕНТЫ
- ОСМОТР НА АВТОМОБИЛЕ
- СНЯТИЕ
- УСТАНОВКА
- СЧЕТЧИК МАССОВОГО РАСХОДА ВОЗДУХА *Е1
- КОМПОНЕНТЫ
- СНЯТИЕ
- ОСМОТР
- УСТАНОВКА
- ДАТЧИК ПОЛОЖЕНИЯ РАСПРЕДВАЛА
- КОМПОНЕНТЫ
- СНЯТИЕ
- УСТАНОВКА
- ДАТЧИК ПОЛОЖЕНИЯ КОЛЕНВАЛА
- КОМПОНЕНТЫ
- СНЯТИЕ
- ОСМОТР
- УСТАНОВКА
- ДАТЧИК ТЕМПЕРАТУРЫ ОХЛАЖДАЮЩЕЙ ЖИДКОСТИ
- КОМПОНЕНТЫ
- СНЯТИЕ
- ОСМОТР
- УСТАНОВКА
- ДАТЧИК ТЕМПЕРАТУРЫ ВСАСЫВАЕМОГО ВОЗДУХА
- КОМПОНЕНТЫ
- СНЯТИЕ
- ОСМОТР
- УСТАНОВКА
- РЕЛЕ ЭЛЕКТРОННОГО ПРИВОДА
- ОСМОТР
ЭЛЕКТРОННОЕ УПРАВЛЕНИЕ ДИЗЕЛЕМ
МЕРЫ ПРЕДОСТОРОЖНОСТИ
ОСТОРОЖНО:
• Для активации инжектора генерируется напряжение около ПО вольт. Поэтому возможен электрический удар при касании цепи рукой. Если нужно проверить или отремонтировать компьютер, провода или разъемы, поверните ключ замка зажигания в положение LOCK.
1. БУДЬТЕ ВНИМАТЕЛЬНЫ И НЕ ДОПУСКАЙТЕ ПОПАДАНИЯ ГРЯЗИ И ПЫЛИ В ИСПОЛНИТЕЛЬНЫЙ МЕХАНИЗМ ИЛИ МАГНИТНЫЕ КЛАПАНЫ.
2. РАЗЪЕМ
(а) Многоконтактные разъемы, пригодные для слабых электрических сигналов электронных цепей, используются для подключения к датчикам, исполнительному механизму и блоку управления. Будьте внимательны при работе с ними.
• Прежде чем отсоединить разъем, убедитесь, что ключ зажигания находится в положении “LOCK”.
• При отсоединении разъема старайтесь тянуть его прямо, держа за корпус.
• Не пытайтесь отсоединять разъем за провода, так как при этом можно погнуть контакты.
• Не отсоединяйте разъемы без необходимости.
• При использовании тестера устанавливайте щуп только со стороны проводов. Никогда не ставьте щуп со стороны клемм, т.к. это может повредить контакты.

• Не допускайте попадания воды, масла и пыли в разъем, когда он рассоединен, это приведет к плохому контакту.
• Не открывайте крышку блока управления. Попадание пыли и воды приведет к неисправности.
• Будьте внимательны и не допускайте попадания воды, масла и пыли на внутренние детали.
• При подсоединении разъема вставляйте его на всю глубину и убедитесь, что фиксатор защелкнулся.
3. ПРИ СТИРАНИИ СОХРАНЕННОЙ В ПАМЯТИ НЕИСПРАВНОСТИ ПРОВЕРЬТЕ НЫНЕШНЮЮ НЕИСПРАВНОСТЬ, ВЫПОЛНИВ ДИАГНОСТИКУ
ЗАНОВО.
4. ПОСЛЕ ВЫПОЛЕНИЯ АНАЛИЗА НЕИСПРАВНОСТИ СОТРИТЕ СОХРАНЕННУЮ В ПАМЯТИ НЕИСПРАВНОСТЬ, ИНАЧЕ КОДЫ НЕИСПРАВНОСТИ ОСТАНУТСЯ.
5. ЩУП ВСТАВЛЯЕТСЯ С ОБРАТНОЙ СТОРОНЫ РАЗЪЁМА ДАЖЕ ЕСЛИ НА ЧЕРТЕЖАХ ПОКАЗАН РАЗЪЁМ СО СТОРОНЫ КОНТАКТОВ.
6. ПОЛЬЗОВАНИЕ ТЕСТЕРОМ ЦЕПИ
• Пользуйтесь тестером цепи с внутренним сопротивлением 100 кОм или выше в заданном диапазоне напряжения.
ПРОВЕРКА РАБОТЫ
1. КОРПУС ДРОССЕЛЬНЫХ ЗАСЛОНОК ДИЗЕЛЯ
(а) Проверка работы
Специальные приспособления (Hino-DX)
09993-Е9070, 09042-1220
ЗАМЕЧАНИЕ:
Проверка функционирования должна выполняться при замене корпуса дроссельных заслонок и после снятия деталей.
(1) Убедитесь в наличии звука работающих заслонок, когда ключ зажигания находится в положении ON. Убедитесь также в отсутствии посторонних звуков.
(2) Подсоедините Hino-DX к разъему передачи данных 3 и удалите диагностический код.
(3) Запустите двигатель и убедитесь, что сигнальная лампочка не горит.
(4) После прогрева двигателя убедитесь, что его обороты находятся в пределах заданных значений.
Норма:


СОВЕТ:
Выполняйте проверку без электрической нагрузки.
(5) После проверки функционирования заслонок выполните проверку на ходу и убедитесь, что все работает нормально.
(Ь) Проверьте напряжение (датчик положения заслонки).
(1) Электрическим тестером измерьте напряжение между клеммами Е23-20 (VLU) и Е22-28 (Е2) электронного блока управления.
Норма:

2. ТЯГА ПЕДАЛИ АКСЕЛЕРАТОРА
(a) Подсоедините Hino-DX к разъему передачи данных 3
Специальные приспособления 09993-Б9070, 09042-1220
(b) Поверните ключ зажигания в положение ON и настройте [Data display]-[Data monitor], чтобы убедиться, что значение “Датчика № 1 положения педали акселератора” в пределах нормы.
Норма:

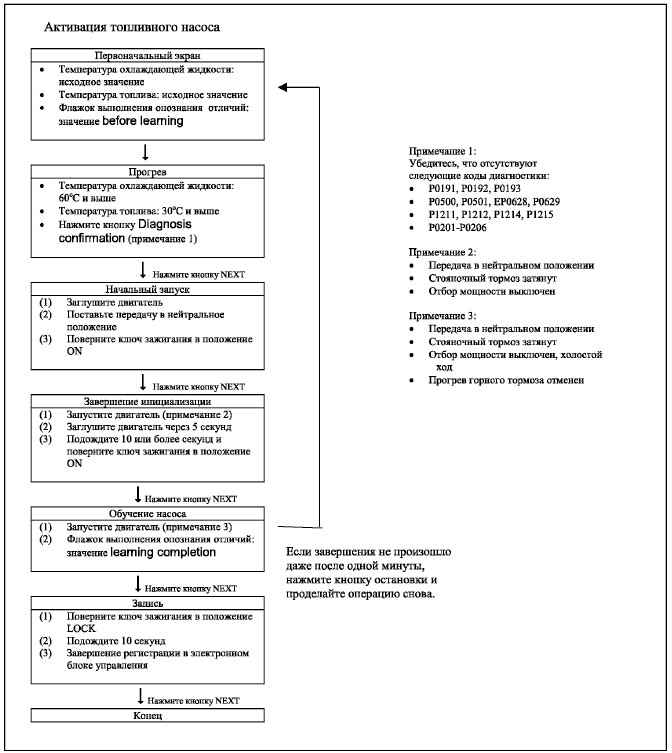
АКТИВАЦИЯ ТОПЛИВНОГО НАСОСА(ОПОЗНАНИЕ ПАРАМЕТРОВ НАСОСА) ПРИ ЕГО ЗАМЕНЕ.
ЗАМЕЧАНИЕ:
• Эта работа (опознание параметров насоса) должна быть выполнена после замены насоса или управляющего компьютера двигателя.
• В случае замены электронного блока, выполните опознание параметров насоса после проведения коррекции инжекторов.
1. ОПОЗНАНИЕ ПАРАМЕТРОВ ТОПЛИВНОГО НАСОСА С ПОМОЩЬЮ Hino-DX

(а) Подсоедините Hino-DX к разъему передачи данных 3
Специальные приспособления 09993-Е9070, 09042-1220
(Ь) Поверните ключ зажигания в положение ON.
ЗАМЕЧАНИЕ:
Не запускайте двигатель.
Следуйте указаниям дисплея Hino-DX и выберите
Function confirmation - Подтвердить функцию -> Supply pump specification learning - Опознание насоса.

(а) Прогрейте до температуры воды 60°С (140°F) или выше, а температуры топлива 30°С (86Т) или выше.
С повышением температуры значение на экране [Data display - Дисплей данных] будет меняться.
ЗАМЕЧАНИЕ:
Нажмите кнопку [Data display] и убедитесь, что не выведены следующие коды:
• Р0191, Р0192/49, Р0193/49 (неисправна система датчиков ПК).
• Р0500/42, Р0502 (неисправна система датчиков скорости автомобиля).
• Р0628, Р0629 (неисправен насос)
• Р1211, Р1212, Р1214, Р1215, РР0201-Р0206 (неисправна инжекторная система)
После полного нагрева нажмите кнопку [Next — Дальше]
(Ь) По мере изменений дисплея [Explanation — Пояснения] выполните следующие действия:

Заглушите двигатель.
• Поставьте передачу в нейтральное положение.
• Поверните ключ зажигания в положение ON Нажмите кнопку [Next].
(с) Запустите двигатель. Остановите его через пять секунд, подождите 10 секунд и поверните ключ в положение ON.

ЗАМЕЧАНИЕ:
• Передача нейтральная
• Стояночный тормоз затянут
• Отбор мощности выключен Нажмите кнопку [Next],
(d) Запустите двигатель.

ЗАМЕЧАНИЕ:
• Передача нейтральная
• Стояночный тормоз затянут
• Отбор мощности выключен
• Автоматический холостой ход.
• Функция горного тормоза отменена.
Нажмите кнопку [Next], когда значение [Data display] - [Supply pump specification learning completion flag] дойдет до [Learning has completed - Опознание закончено].
(e) Поверните ключ в положение LOCK и подождите 10 секунд.

(f) [Supply pump specification learning - опознание параметров питающего насоса] закончено.
КОРРЕКЦИЯ ИНЖЕКТОРА
ЗАМЕЧАНИЕ:
Если заменен компьютер, выполните техническое опознание параметров насоса после проведения коррекции инжектора.
1. Порядок выполнения
(a) Подсоедините Hino-DX к DLC3.
Специальные приспособления 09993-Е9070, 09042- 1220
(b) Поверните ключ зажигания в положение ON.
ЗАМЕЧАНИЕ:
Не запускайте двигатель.
(c) Следуя указаниям дисплея Hino-DX, выберите [Settings - Настройки] - [Injector compensation - Коррекция инжектора]
(d) Подробнее о коррекции инжектора смотрите в «Help»
АКТИВАЦИЯ ИНЖЕКТОРНОГО (ПИТАЮЩЕГО) НАСОСА
1. АКТИВАЦИЯ С ПОМОЩЬЮ HINO-DX
(a) Подсоедините Hino-DX к DLC3.
SST 09993-Е9070,09042-1220
(b) Поверните ключ зажигания в положение ON.
ОСТОРОЖНО:
Не запускайте двигатель.
(c) Следуя указаниям дисплея Hino-DX, выберите [Work support - Рабочая поддержка] - [ECD] - [Supply pump learning value initialization - Активация опознания параметров питающего насоса]
(а) Проверьте текст на дисплее и выполните активацию.
ОСТОРОЖНО:
Выполняйте с ключом зажигания в положении ON и на заглушенном двигателе.
(e) В случае ошибки повторите с этапа (с).
(f) Запустите и прогрейте двигатель для завершения активации.
ОСТОРОЖНО:
Не разгоняйте двигатель непосредственно после запуска.
ЗАМЕЧАНИЕ:
• Если двигатель не запускается, повторите с шага (с).
• Прогрев двигателя считается законченным при температуре 60°С и выше, а топлива 20°С и выше.
(1) На дисплеях [ECU data monitor - Монитор данных ECM] - [Engine cooling water temperature -
Температура воды] прибора Hino-DX проверьте температуру воды.
SST 09993-Е9070,09042-1220
Справочное значение: 60*С или выше (2) На дисплеях [ECU data monitor - Монитор данных ECM] - [Fuel temperature - Температура топлива] прибора Hino-DX проверьте температуру топлива.
SST 09993-Е9070,09042-1220
Справочное значение: 20"С или выше
ЗАМЕЧАНИЕ:
Если температура не поднимается по причине внешних условий, постепенно повысьте скорость двигателя до примерно 3000 об/мин.
Не допускайте резкого разгона.
(g) Дайте прогретому двигателю поработать на холостом ходу в течение не менее одной минуты
(Ті) Завершение инициализации.
2. ИНИЦИАЛИЗАЦИЯ КОРОТКИМ ЗАМЫКАНИЕМ DLC3
(a) Поверните ключ зажигания в положение OFF (LOCK).
(b) Диагностическим проводом № 2 перемкните клеммы 3 (CG) и 4 (ТС) на разъеме DLC3.
SST 09843-18040
(c) Поверните ключ зажигания в положение ON.
ОСТОРОЖНО:
Не запускайте двигатель
(b) Через 3 минуты поверните ключ зажигания в положение OFF (LOCK).
(c) Снимите перемычку с DLC3.
(d) Запустите и прогрейте двигатель для завершения инициализации.
ОСТОРОЖНО:
(g) Не разгоняйте двигатель непосредственно после запуска.

ЗАМЕЧАНИЕ:
• Если двигатель не запускается, начните сначала.
• Прогрев двигателя считается законченным при температуре 60°С и выше, а топлива 20°С и выше.
(1) С помощью электрического тестера проверьте температуру воды и топлива с напряжения между клеммами компьютера управления двигателем.
SST 09082-00040,09083-00150


ЗАМЕЧАНИЕ:
Если температура не поднимается по причине внешних условий, постепенно повысьте скорость двигателя до примерно 3000 об/мин.
Не допускайте резкого разгона.
(g) После прогрева дайте двигателю поработать на холостом ходу не менее одной
ФУНКЦИОНИРОВАНИЕ
1. ЧТО ТАКОЕ ИДЕНТИФИКАЦИОННЫЙ КОД
Для оптимизации характеристик впрыска инжектора компьютер управления двигателем использует различную коррекцию синхронизации по каждому инжектору. Эти данные коррекции выбиты в виде 30 значного кода на головке инжектора.
Во время замены инжектора или компьютера требуется регистрация идентификационного кода (коррекция инжектора).
ОСТОРОЖНО:
При неправильной регистрации кода идентификации может появиться посторонний шум.



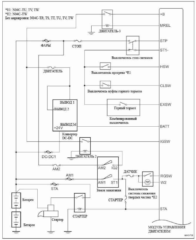
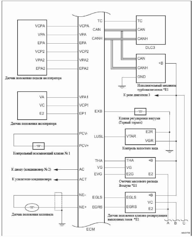
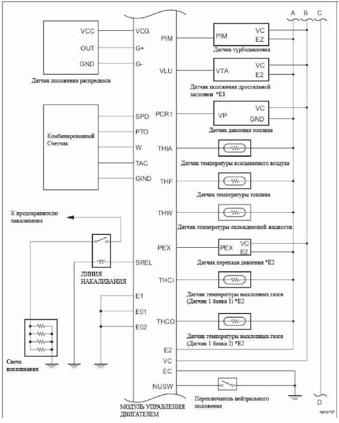
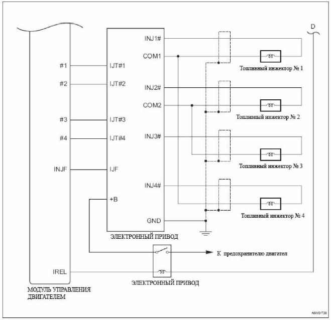
СХЕМА СИСТЕМЫ




Полное описание в